Rs. 25000 Premium Prize Bond Draw List – 10 June 2025 (Draw #18)
25000 Premium Prize Bond Draw List 10 June 2025. The Rs. 25000 Premium Prize Bond Draw No. 18 was held on Tuesday, 10 June 2025, in Lahore under the supervision of the State Bank of Pakistan and National Savings. This draw is part of the quarterly prize bond schedule released by the Government of Pakistan.
If you own a Rs. 25000 Premium Bond, this is your chance to check whether you’ve won one of the high-value prizes. Here you’ll find the complete 25000 premium prize bond draw list, along with prize distribution details and official winning numbers.
Draw Details—Rs. 25000 Premium Prize Bond
- Bond Type: Rs. 25,000 Premium
- Draw Number: 18
- Draw Date: 10 June 2025
- Day: Tuesday
- Draw Location: Lahore
- Issued by: State Bank of Pakistan & Central Directorate of National Savings (CDNS)
Premium prize bond prize money
Prize Money—Rs. 25000 Premium Bond
| Prize | No. of Winners | Amount (PKR) |
|---|---|---|
| 1st Prize | 2 | Rs. 30,000,000 |
| 2nd Prize | 5 | Rs. 10,000,000 |
| 3rd Prize | 700 | Rs. 300,000 |
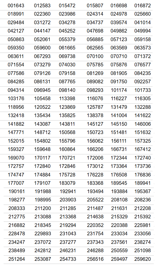
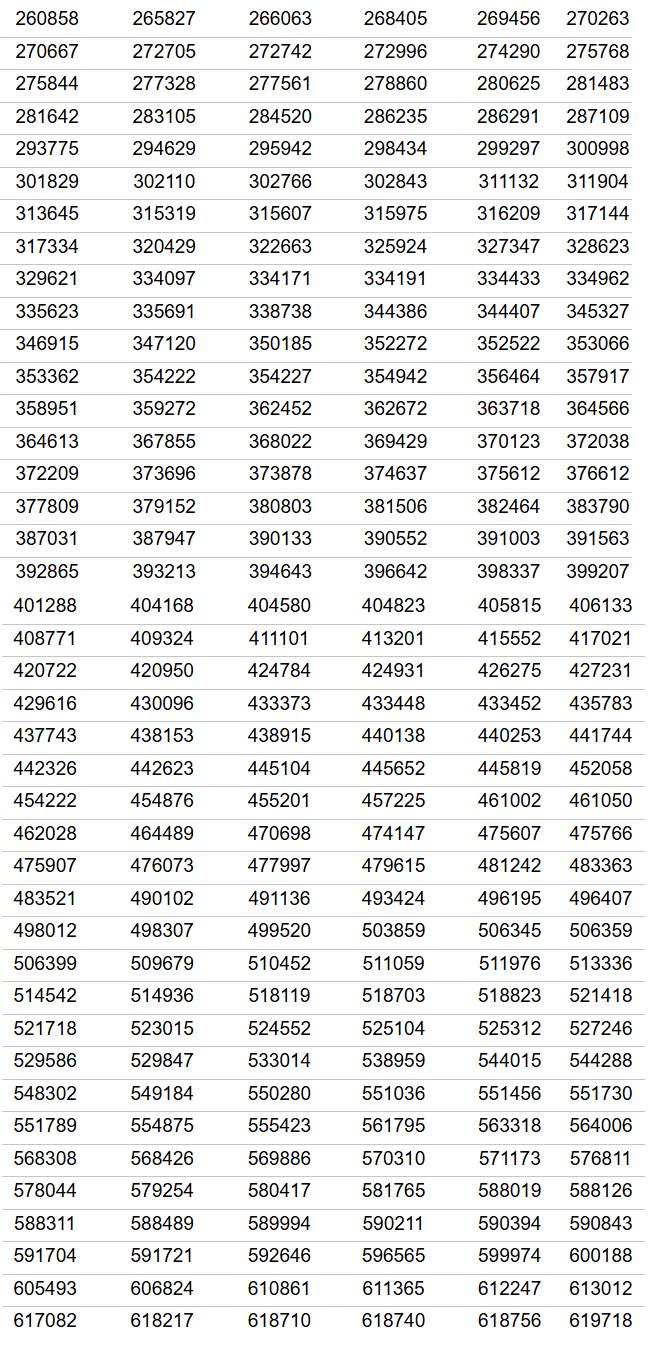
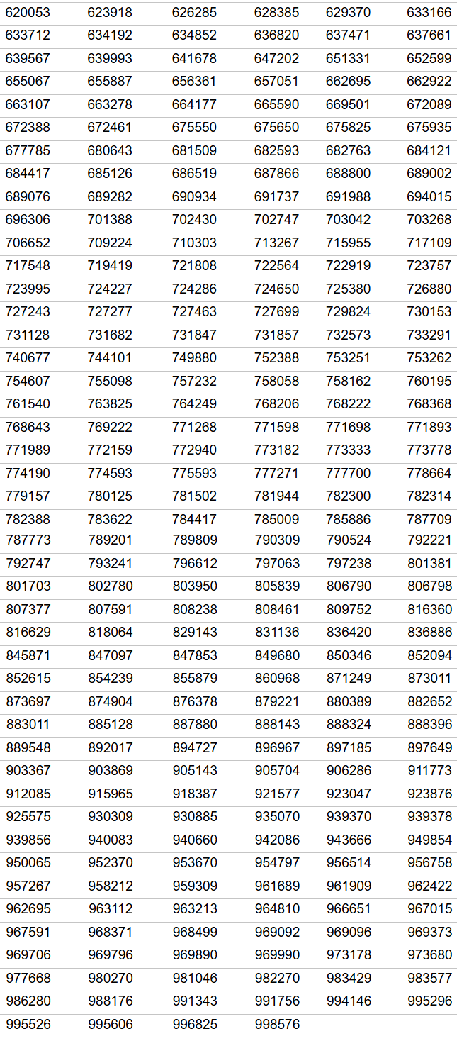
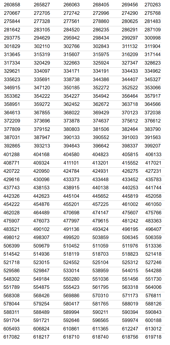
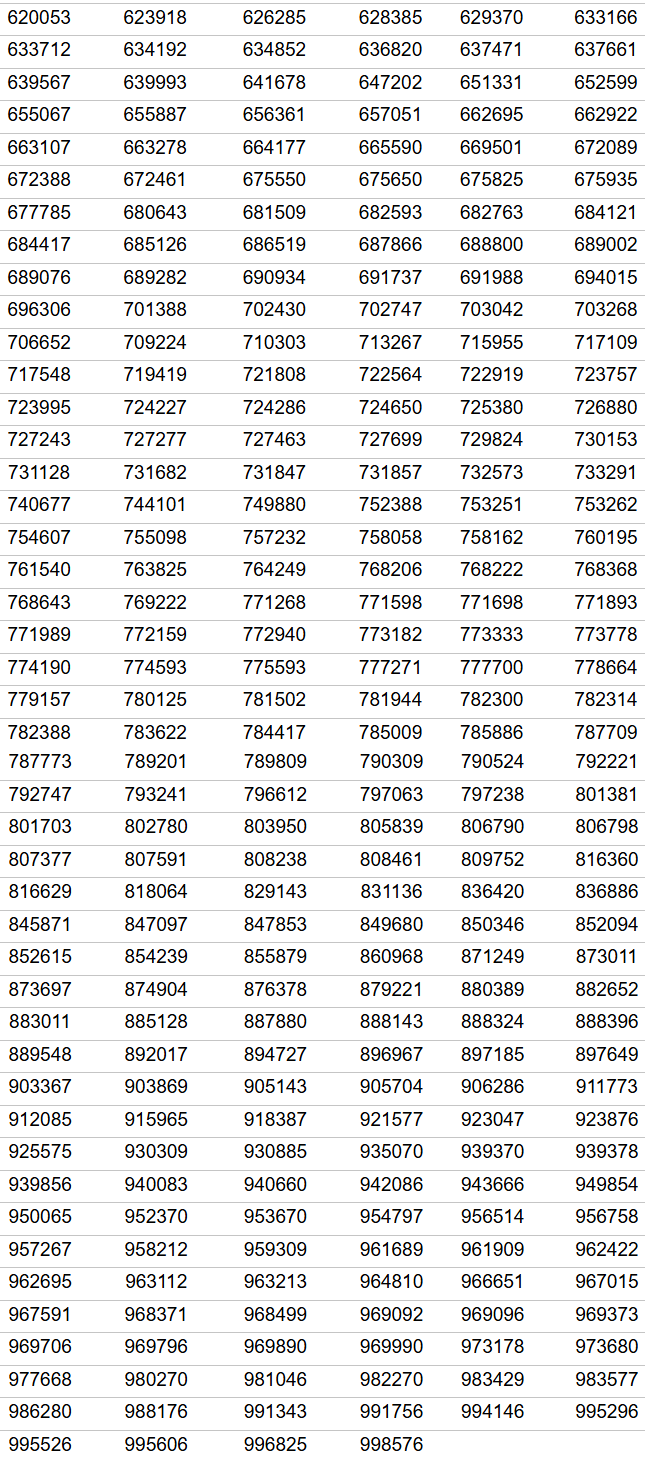
Winning Numbers Premium Prize Bond, 10 June 2025
1st Prize Winners (Rs. 30,000,000 each)
235174 272160
2nd Prize Winners (Rs. 10,000,000 each)
278896
418337
464014
722511
957742
Download the Complete Prize List
To download the full list of 3rd prize winners, click the link below:
Download Rs. 25000 Premium Prize Bond Draw List (PDF)
Check Rs. 25000 Premium Bond Online
Want to check your 25000 premium bond number online? Use our prize bond search tool:
Prize Bond Checker – Rs. 25000 Premium Draw
Just enter your bond number and select the bond type to find out if you are a winner.
Next Draw Schedule
- Next Draw Number: 19
- Draw Date: 10 September 2025
- City: KARACHI
Important Notes
- Winners must have provided CNIC and bank account details to receive the prize amount. IBAN/Account Maintenance Certificate.
- All 25,000 Premium Prize Bonds are registered, and winnings are directly transferred to bank accounts after tax deduction.
Useful Links
- 25000 Premium Prize Bond Draw Result
- Prize Bond Draw Schedule 2025
- National Savings Official Website
- State Bank of Pakistan
Final Words
The 25000 Premium Prize Bond Draw List for 10 June 2025 has been officially announced. With two 1st prizes and five 2nd prizes worth millions, this bond offers a great opportunity for investors. Don’t forget to check your bond numbers using our online checker and bookmark our page for updates on upcoming draws.





1 thought on “25000 Premium Prize Bond Draw List 10 June 2025”